Early Integration.

At least as many problems can be solved using integration as can be solved using differentiation,  so we need to find out about it too.   

Integration involves adding up, which Maple does with sum .  

 Learning to use the Maple words  Sum  and  sum .

   Sum      is the passive form of sum,  so you can set up an equation  displaying and computing the sum of the first 100 positive integers.

>    Sum(i, i=1..100)=sum(i, i=1..100);

Sum(i,i = 1 .. 100) = 5050

>   

 Suppose we wanted  to compute the sum of the  arithmetic sequence   

4 + 7 +  10  + 13 +  ....  + 301

First thing we need to figure out is the number of terms in this sum.  Well, the common difference is 3 and the last term can be written as   4+3*i   where

>    i = (301-4)/3;

i = 99

So, there are 100 terms and we can sum this as

>    Sum(4+i*3,i=0..99)=sum(4+i*3,i=0..99);

 

Sum(4+3*i,i = 0 .. 99) = 15250

Exercise:  Find the sum of the square roots of i, as i goes from 1 to 10.
 

If we proceed as before,

>     Sum(sqrt(i),i=1..10)=sum(sqrt(i),i=1..10);

 

Sum(i^(1/2),i = 1 .. 10) = 1+2^(1/2)+3^(1/2)+4^(1/2)+5^(1/2)+6^(1/2)+7^(1/2)+8^(1/2)+9^(1/2)+10^(1/2)

the sum is not computed.  Use evalf     to convert it to a decimal.

>    Sum(sqrt(i),i=1..10)=evalf(sum(sqrt(i),i=1..10));

Sum(i^(1/2),i = 1 .. 10) = 22.46827818

Exercise:  Calculate the value of the following sum for n taking values  4, 8, 12  and n.   What is the limiting value of the sum as n gets large?

>    seq(Sum((1/2)^i,i=0..4*j)=sum((1/2)^i,i=0..4*j),j=1..3);

Sum((1/2)^i,i = 0 .. 4) = 31/16, Sum((1/2)^i,i = 0 .. 8) = 511/256, Sum((1/2)^i,i = 0 .. 12) = 8191/4096

>   

>     Sum((1/2)^i,i=0..n)=sum((1/2)^i,i=0..n);

Sum((1/2)^i,i = 0 .. n) = -2*(1/2)^(n+1)+2

>   

>   

As n gets large, (1/2)^n   goes to 0, so  the whole sum goes to 2.

>     Sum((1/2)^i,i=0..infinity) =limit(Sum((1/2)^i,i=0..n),n=infinity);

Sum((1/2)^i,i = 0 .. infinity) = limit(Sum((1/2)^i,i = 0 .. n),n = infinity)

>   

 Riemann  Sums with the student package

There are some  useful words in the student package     dealing with integration.

>     with(student);

[D, Diff, Doubleint, Int, Limit, Lineint, Product, Sum, Tripleint, changevar, completesquare, distance, equate, integrand, intercept, intparts, leftbox, leftsum, makeproc, middlebox, middlesum, midpoin...
[D, Diff, Doubleint, Int, Limit, Lineint, Product, Sum, Tripleint, changevar, completesquare, distance, equate, integrand, intercept, intparts, leftbox, leftsum, makeproc, middlebox, middlesum, midpoin...
[D, Diff, Doubleint, Int, Limit, Lineint, Product, Sum, Tripleint, changevar, completesquare, distance, equate, integrand, intercept, intparts, leftbox, leftsum, makeproc, middlebox, middlesum, midpoin...

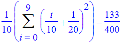
For example, middlesum and middlebox  compute and display a regular Riemann sum where the mark is chosen as the midpoint in each subinterval.  For example, to get the middle regular Riemann sum      for x^2 from 0 to 1 with 10 subintervals,

>    middlesum(x^2,x=0..1,10) = value(middlesum(x^2,x=0..1,10));

1/10*Sum((1/10*i+1/20)^2,i = 0 .. 9) = 133/400

>     middlebox(x^2,x=0..1,10);

[Maple Plot]

>   

 Two Area Problems

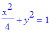
Exercise:   Plot the ellipse     x^2/4+y^2 = 1   with a parametric plot. Estimate the area of the ellipse.   Use the fact that it is four times  the area under the graph of   sqrt(1-x^2/4)  for  x between 0 and 2.

Solution:

A parameterization of the ellipse     is to let   x = 2*cos(t), y = sin(t) , as t goes from 0 to 2*Pi .

>      ellipse := [2*cos(t),sin(t),t=0..2*Pi];

ellipse := [2*cos(t), sin(t), t = 0 .. 2*Pi]

>      plot(ellipse,scaling=CONSTRAINED);

[Maple Plot]

 The upper ellipse is the graph of the function

>      f := x -> sqrt(1- x^2/4);

f := proc (x) options operator, arrow; sqrt(1-1/4*x^2) end proc

>   

We can  use    leftsum and rightsum     to estimate the area.  

>    for i from 1 to 5 do
left := 4*evalf(value(leftsum(f(x),x=0..2,25*i)));
right := 4*evalf(value(rightsum(f(x),x=0..2,25*i)));
print(left,right,right-left); od:

6.424392628, 6.104392628, -.320000000

6.356537020, 6.196537020, -.160000000

6.332899024, 6.226232356, -.106666668

6.320834060, 6.240834060, -.80000000e-1

6.313502780, 6.249502780, -.64000000e-1

By inspecting the table of numbers, we  see that area is between 6.24 and 6.31.

>   

Exercise:  For the function   10-x^4+10*x^2 , plot the function and determine the region R where the graph of f lies above the  x-axis.  Make the sketch of R and compute the endpoints of the base of R.  Use    student[middlesum]     to  find the area of the region R to within  0.1.

Solution:

First plot the function and calculate the endpoints of R.

>    y := 10 - x^4 + 10*x;

y := 10-x^4+10*x

>    plot(y,x=-2..3);

[Maple Plot]

>    sol := fsolve(y,x);

sol := -.9263593057, 2.417910164

>    for i from 1 to 5 do
value(student[middlesum](y,x=sol[1]..sol[2],20*i))
od;

41.78810165

41.73598953

41.72632972

41.72294809

41.72138277

The area looks to be 41.7 to the nearest 0.1, using middlesum with 100 subdivisions.

Learning  to use   Int and int.     

    The fundamental theorem of calculus     tells us that a definite integral of a  continuous function f can be evaluated by  first finding an antiderivative of f and then calculating the difference of its values at the endpoints: In symbols,

Int(f(x),x = a .. b) = F(b)-F(a)   provided diff(F(x),x) = f(x) .

You can use the Maple word    int      to find antiderivatives, (aka indefinite integrals).

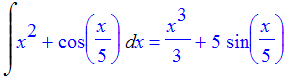
For example,  to find an antiderivative of   x^2+cos(x/5) , use int.

>    Int(x^2 + cos(x/5),x)=int(x^2 + cos(x/5),x);

Int(x^2+cos(1/5*x),x) = 1/3*x^3+5*sin(1/5*x)

Notice that there is a passive form of  int, Int ,    for typesetting purposes.

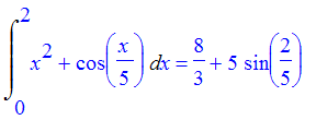
 You can also use int to evaluate definite integrals.   For example, if we want to plot the region under the graph of    x^2+cos(x/5)    for  x between 0 and 2 and calculate its area.

>    restart;

>    f := x-> x^2 + cos(x/5);

f := proc (x) options operator, arrow; x^2+cos(1/5*x) end proc

>     Int(f(x),x=0..2)=int(f(x),x=0..2);

Int(x^2+cos(1/5*x),x = 0 .. 2) = 8/3+5*sin(2/5)

>     area := evalf(int(f(x),x=0..2));

area := 4.613758379

>   

 We will use    plots[polygonplot]     to shade the region.

>    ### WARNING: semantics of type `string` have changed
 plots[polygonplot]( [ [2,0],[0,0],[0,f(0)],seq([x/10,f(x/10)] , x=0..20) ],color=gray,title= cat(`Area = `,convert(area,string)) );

[Maple Plot]

>     

Exercises:

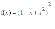
Exercise: For each of the functions below,  Sketch the region under the graph and calculate the area of the region  using the fundamental theorem of calculus.

a)    f(x) = (1-x+x^2)^2    , for   x = -1 .. 2

>   

>   

b)  Under the arch of f(x) = cos(x/2)^2+3*x  which contains x=0.   .

>     

>     

c)    f(x) = piecewise( x<1, sqrt(x)   ,x>=1,x^2);  for x between 0 and 2.

x^2+cos(1/5*x) = PIECEWISE([x^(1/2), x < 1],[x^2, 1 <= x])

>   

>   

Average value.   

Suppose you picked at random 1000 numbers between 0 and 1.  What would you expect the average of the squares of these numbers to be, about?

Solution .

First let's look up how rand works.

>    ?rand

So  to get a function which returns random numbers between 0 and 1, we could do something like this:

>    f := rand(10^7)/10.^7:

>    f();

.9669081000

>     s := 0:
 for i from 1 to 1000 do
s := s+f()^2 od:
s/1000;

.3257097986

>   

Looks like its around a third.

On the other hand,  you could estimate the average value by averaging the values at n equally  spaced points in the interval. Here is a procedure for doing this.  The inputs are f, the function to be averaged; a,b, the endpoints of the interval where the function is evaluated; and n, the number of equally spaced values to be averaged.

>    av := proc(f,a,b,n)
local i,dx;
dx := (b-a)/n;
evalf(sum(f(a+i*dx),i=1..n)/n);
end:

>   

 So to estimate the average value of   x^2  as x ranges from 0 to 1,  we could generate a sequence of estimates

>    for i by 100 from 100 to 400 do
print(i, av(x->x^2,0,1,i)) od;

100, .3383500000

200, .3358375000

300, .3350018519

400, .3345843750

This seems to give about 1/3 also.

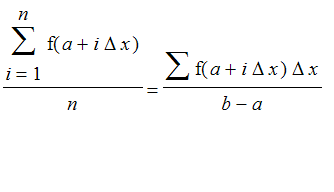
The last estimate can be turned into a regular Riemann sum.  Let Delta*x = (b-a)/n   denote the length of each subinterval in the regular partition of [a,b] into n subintervals.  Then  the average and Riemann sum are the same:

Sum(f(a+i*Delta*x),i = 1 .. n)/n = Sum(f(a+i*Delta*x)*Delta*x)/(b-a)   

As n gets large, this Riemann sum converges to the integral of the function over the interval divided by the length of the interval.  Thus we are justified in defining the average value as an integral.

Problems.

Exercise:  The temperature in the 24 period from 0..24 is given as   f(t) = 10*sin(t/3)+100*t*(24-t) .  Find the average temperature over the time interval. Find a time t when it is the average temperature.  Also find the maximum temperature and minimum temperature.

>   

>   

Exercise:  Suppose  f is a continuous function on [a,b], with average value T.   Show that there is an  x in [a,b] so that f(x) = T.

>   

>   

  Modeling the flow of air in lungs:

 The rate of change of the volume of air in the lungs     can be modeled very roughly (according to some texts) by the function  

>     f := t -> 1/2*sin(2*Pi*t/5);

 

f := proc (t) options operator, arrow; 1/2*sin(2/5*Pi*t) end proc

>   

>   

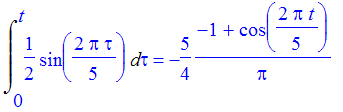
where volume is measured in liters and time is measured in seconds.  So the actual volume of air in the lungs would obtained by integrating f. Here we are assuming there is no air in the lungs at time 0.

>      Int(f(tau),tau=0..t) = int(f(tau),tau=0..t);

Int(1/2*sin(2/5*Pi*tau),tau = 0 .. t) = -5/4*(-1+cos(2/5*Pi*t))/Pi

>     F := unapply(int(f(tau),tau=0..t),t);

 

F := proc (t) options operator, arrow; -5/4*(-1+cos(2/5*Pi*t))/Pi end proc

Let's plot the rate of airflow and the volume function to get a feel for their behavior.

>     plot({f,F},0..10);

 

[Maple Plot]

>   

 Questions.

Question: Which is the rate of airflow function and which is its integral?

Question: What is the maximum volume of air in the lungs in this model?   The minimum volume?

Question:  When are the lungs half-full?

Question: What is the average  rate of airflow in the lungs over the time interval [0,2.5]?  [2.5,5]?  [0,5]?

>     ar := evalf(int(f(t),t=0..2.5)/2.5);

ar := .3183098862

>   

About .32 liters per second on average.

Question: What is the average volume of air in the lungs over the time interval [0,2.5]?  [0,5]?

>     av := evalf(int(F(t),t=0..2.5)/2.5);

av := .3978873577

>   

About .4 liter air in the lungs on average.

Actually,  there are different, perhaps more realistic models of the rate of airflow into the lungs.  For example,  consider this one,

>      g := t -> (3/8-1/4*cos(4*Pi*t/5))*sin(2*Pi*t/5);

 

g := proc (t) options operator, arrow; (3/8-1/4*cos(4/5*Pi*t))*sin(2/5*Pi*t) end proc

>   

 Problem:  Using the function g to model the rate of airflow in the lungs, find the volume G of  air in the lungs at time t. (Assume as before that G(0) = 0.)  Plot both  g and G over the time interval [0,10].   Describe qualitatively a difference that       you note  between this model and the model  we looked at above. Calculate the maximum rate of airflow in this model.  What is the  maximum volume of air in the lungs in this model?  What is the average volume of air in the tank  in the time interval [0,5]

Two Area problems.

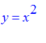
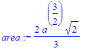
Exercise: Find the  upside down parabola     y = a-x^2    so that the  area between it and the parabola    y = x^2  is 100.  Draw a diagram.

Solution.

Set up the functions which bound the region.

>    restart;

>     f := x -> a-x^2;

f := proc (x) options operator, arrow; a-x^2 end proc

>     g := x-> x^2;

g := proc (x) options operator, arrow; x^2 end proc

>   

Find the points where the functions cross.

>    sol := solve(f(x)=g(x),x);

sol := 1/2*2^(1/2)*a^(1/2), -1/2*2^(1/2)*a^(1/2)

>   

Get the area of the region. By inspection, we see that sol[2] is the left endpoint where the functions cross.

>    area := int(a-2*x^2,x=sol[2]..sol[1]);

area := 2/3*a^(3/2)*2^(1/2)

>    sol;

1/2*2^(1/2)*a^(1/2), -1/2*2^(1/2)*a^(1/2)

Solve an equation.

>    sol2 := fsolve(area=100,{a});

sol2 := {a = 22.40702373}

>    assign(sol2);

>    plot({f ,g }, sol[2]..sol[1]);

[Maple Plot]

>   

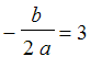
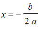
Another area problem:    The parabola    y = a*x^2+b*x+c   is tangent to the graph of     y = 2+abs(x-3)   at two points and  the area of the region bounded by their graphs is  10.  Find a, b, and c.  Make a sketch.

Solution :

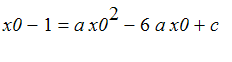
The axis of the parabola is     x = -b/(2*a) .   That is also the axis of   y = 2+abs(x-3)  , so    -b/(2*a) = 3 , or    b = -6*a  .  The point where the slope of the parabola is 1 is on both graphs.  Call the point [x0,y0].  Then   x0-1 = a*x0^2-6*a*x0+c    and     1 = 2*a*x0-6*a .

>    restart;

>    eq1 := x0-1 = a*x0^2 -6*a*x0 + c;

eq1 := x0-1 = a*x0^2-6*a*x0+c

>     eq2 := 1 = 2*a*x0 - 6*a;

eq2 := 1 = 2*a*x0-6*a

>    ac := solve({eq1,eq2},{a,c});

ac := {c = 1/2*(x0^2-2*x0+6)/(x0-3), a = 1/(2*(x0-3))}

>   

Finally, the area between the curves is 100, so the righthand half is 50.

>     eq3 := Int (a*x^2-6*a*x+c-(2+x-3),x=3..x0)=50;

eq3 := Int(a*x^2-6*a*x+c+1-x,x = 3 .. x0) = 50

Integrating,.

>    eq3 :=int(a*x^2-6*a*x+c-(2+x-3),x=3..x0)=50;

Sollving for x0

>     sol :=solve(subs(ac,eq3),x0);

sol := 3+10*3^(1/2), 3-10*3^(1/2)

>    assign({x0=sol[1]});
 assign(ac);

>    plot({2+abs(x-3),a*x^2-6*a*x+c},
x=sol[2]-2..sol[1]+2,color=black);

>   

>