Moments and Center of Mass

Center of mass of a Wire

Suppose we have a wire [Maple Math] feet long whose density is [Maple Math] pounds per foot at the point [Maple Math] feet from the left hand end of the wire. What is the total mass of the wire and where is its center of mass , i.e., the point cm about which the total moment of the wire is 0?

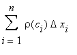
Mass Chop the wire into n small pieces each [Maple Math] feet long and pick an arbitrary point [Maple Math] in each piece. An approximation to the mass of the ith piece of wire is [Maple Math] , so an approximation to the total mass is [Maple Math] . This approximate mass is a Riemann sum approximating the integral [Maple Math] , and so the mass of the wire is defined as the value of this integral.

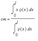
Center of mass : Chopping as above, the approximate moment of the ith piece about the center of mass cm is [Maple Math] and so the total approximate moment is [Maple Math] . This is seen to be a Riemann sum approximating the integral [Maple Math] . But the center of mass is defined as the point about which the total moment is zero so the integral satisfies the equation [Maple Math] . Using properties of integrals, we can solve this equation for cm, to get the ratio of integrals [Maple Math] . Note the top integral represents the total moment of the wire about its left end (x=0) and the bottom integral is the total mass of the wire.

Exercise: Find the center of mass of a wire 1 foot long whose density at a point x inches from the left end is 10 + x + sin(x) lbs/inch.

Center of mass of a solid of revolution

If [Maple Math] for [Maple Math] , then let S be the solid of revolution obtained by rotating the region under the graph of f around the x axis. We know how to express the volume of S as an integral: Just integrate from a to b the crossectional area [Maple Math] of the solid S to get [Maple Math]

Now how would we find the center of mass of the solid, assuming it's made of a homogeneous material? Well, it's clear that the center of mass will be somewhere along the x-axis between a and b. Let CM be the center of mass. Partition [Maple Math] into n subintervals [Maple Math] and using planes perpendicular to [Maple Math] approximate the solid S with the n disks where the ith one has volume [Maple Math]

Now the signed moment of the ith disk about the point CM is [Maple Math] and the sum of these moments will be approximately 0, since CM is the center of mass. If we let [Maple Math] go to zero this approximate equation becomes an equation for the center of mass:

> CMequation := int((x-CM)*Pi*f(x)^2,x=a..b) =0;

[Maple Math]

Useing properties of integrals, we can solve this equation for CM.

> sol := solve(CMequation,{CM} ) ;

[Maple Math]

Notice that the center of mass of the solid of revolution is the same as the center of mass of a wire whose density at [Maple Math] is the area of the cross-section.

We can define a word cenmass which takes a function f, an interval [a,b], and locates the center of the solid of revolution.

> cenmass := proc(f,a,b)
int(x*f(x)^2,x=a..b)/int(f(x)^2,x=a..b) end:

For example, the center of the solid obtained by rotating the region R under the graph of [Maple Math] for x between 0 and [Maple Math] is

> cenmass(cos,0,Pi/2);

[Maple Math]

Now we can define a word to draw the solid and locate the center of mass.

> drawit := proc(f,a,b)
local cm, solid;
### WARNING: the definition of the type `symbol` has changed'; see help page for details
cm := plots[pointplot3d]([evalf(cenmass(f,a,b)),0,0],color=red,symbol=box,thickness=3):
solid := plots[tubeplot]([x,0,0],x=a..b,radius=f(x),numpoints=20,style=wireframe);
plots[display]([cm,solid],scaling=constrained); end:

Test this out.

> drawit(cos+2,0,7);

[Maple Plot]

We can animate the motion of the center of mass as the solid changes.

> plots[display]([seq(drawit(2+cos,0,t),t=1..10)],
insequence=true);

Exercise: Find the center of mass of a homogeneous hemispherical solid.

Exercise: A homogeneous solid is in the shape of a parabolic solid of revolution obtained by rotating the graph of y = x^2 , x in [0,a] around the the y axis, for some positive number a. If the center of mass is at y= 10, what's a?

Table of Contents