Exercises: Chapter 3, Section 1

  1. Let ch3a1.png be defined by

    ch3a2.png

    Show that ch3a3.png is integrable and that ch3a4.png .

    Apply Theorem 3-3 to the partition ch3a5.png where ch3a6.png . For this partition, ch3a7.png .

  2. Let ch3a8.png be integrable and let ch3a9.png except at finitely many points. Show that ch3a10.png is integrable and ch3a11.png .

    For any ch3a12.png , there is a partition of ch3a13.png in which every subrectangle has volume less than ch3a14.png . In fact, if you partition ch3a15.png by dividing each side into ch3a16.png equal sized subintervals and ch3a17.png , then the volume of each subrectangle is precisely ch3a18.png which is less than ch3a19.png as soon as ch3a20.png . Furthermore, if ch3a21.png is any partition, then any common refinement of this partition and ch3a22.png has the same property.

    If ch3a23.png and ch3a24.png is a partition of ch3a25.png , then any point ch3a26.png is an element of at most ch3a27.png of the subrectangles of ch3a28.png . The intuitive iddea of the proof is that the worst case is when the point is in a `corner'; the real proof is of course an induction on m.

    Let ch3a29.png and ch3a30.png be a partition as in Theorem 3-3 applied to ch3a31.png and ch3a32.png . Let ch3a33.png be a refinement of ch3a34.png such that every subrectangle of ch3a35.png has volume less than ch3a36.png where ch3a37.png , ch3a38.png is the number of points where ch3a39.png and ch3a40.png have values which differ, and ch3a41.png (resp. ch3a42.png ) are upper (resp. lower) bounds for the values ch3a43.png for all ch3a44.png . Then the hypotheses of Theorem 3-3 are satisfied by ch3a45.png and ch3a46.png , and so ch3a47.png is integrable.

    In fact, ch3a48.png and ch3a49.png where ch3a50.png is any upper bound for the volume of the subrectangles of ch3a51.png , because the terms of the sum can differ only on those subrectangles which contain at least one of the ch3a52.png points where ch3a53.png and ch3a54.png differ. Taking differences gives

    ch3a55.png

  3. Let ch3a56.png be integrable.
    1. For any partition ch3a57.png of ch3a58.png and any subrectangle ch3a59.png of ch3a60.png , show that ch3a61.png and ch3a62.png and therefore ch3a63.png and ch3a64.png .

      For each ch3a65.png , one has ch3a66.png and ch3a67.png since greatest lower bounds are lower bounds. Adding these inequalities shows that ch3a68.png is a lower bound for ch3a69.png , and so it is at most equal to the greatest lower bound of these values. A similar argument shows the result for ch3a70.png . Since ch3a71.png , ch3a72.png , and ch3a73.png are just positively weighted sums of the ch3a74.png , ch3a75.png , and ch3a76.png the result for ch3a77.png can be obtained by summing (with weights) the inequalities for the ch3a78.png . A similar argument shows the result for ch3a79.png .

    2. Show that ch3a80.png is integrable and ch3a81.png .

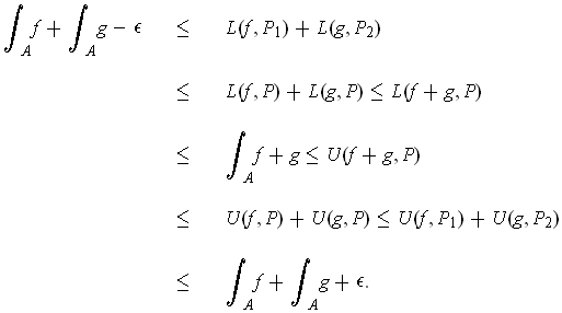
      Let ch3a82.png (resp. ch3a83.png ) be a partition as in Theorem 3-3 applied to ch3a84.png (resp. ch3a85.png ) and ch3a86.png . Let ch3a87.png be a common refinement of ch3a88.png and ch3a89.png . Then by part (a) and Lemma 3-1,

      ch3a90.png

      . By Theorem 3-3, ch3a91.png is integrable.

      Further

      ch3a92.png

      By the squeeze principle, one concludes that ch3a93.png .

    3. For any constant ch3a94.png , show that ch3a95.png .

      We will show the result in the case where ch3a96.png ; the other case being proved in a similar manner. Let ch3a97.png be a partition as in Theorem 3-3 applied to ch3a98.png and ch3a99.png . Since ch3a100.png and ch3a101.png for each subrectangle ch3a102.png of ch3a103.png , we have

      ch3a104.png

      By Theorem 3-3, applied to ch3a105.png and ch3a106.png , the function ch3a107.png is integrable; by the squeeze principle, its integral is ch3a108.png .

  4. Let ch3a109.png and ch3a110.png be a partition of ch3a111.png . Show that ch3a112.png is integrable if and only if for each subrectangle ch3a113.png the function ch3a114.png , which consists of ch3a115.png restricted to ch3a116.png , is integrble, and that in this case ch3a117.png .

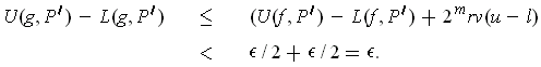
    Suppose that ch3a118.png is integrable and ch3a119.png . Let ch3a120.png be a partition of ch3a121.png as in Theorem 3-3 applied to ch3a122.png and ch3a123.png . Let ch3a124.png be a common refinement of ch3a125.png and ch3a126.png . Then there is a partition ch3a127.png of ch3a128.png whose subrectangles are precisely the subrectangles of ch3a129.png which are contained in ch3a130.png . Then ch3a131.png . By Theorem 3-3, it follows that ch3a132.png is integrable.

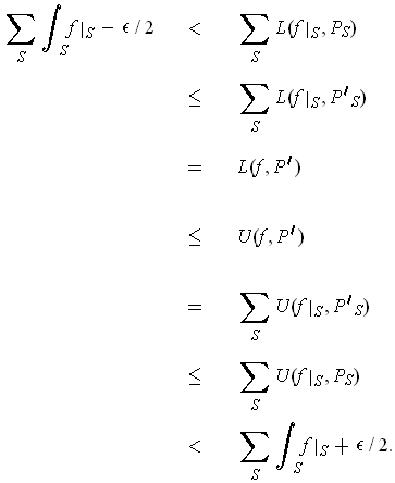
    Suppose that all the ch3a133.png are integrable where ch3a134.png is any subrectangle of ch3a135.png . Let ch3a136.png be a partition as in Theorem 3-3 applied to ch3a137.png and ch3a138.png where ch3a139.png is the number of rectangles in ch3a140.png . Let ch3a141.png be the partition of A obtained by taking the union of all the subsequences defining the partitions of the ch3a142.png (for each dimension). Then there are refinements ch3a143.png of the ch3a144.png whose rectangles are the set of all subrectangles of ch3a145.png which are contained in ch3a146.png . One has

    ch3a147.png

    By Theorem 3-3, the function ch3a148.png is integrable, and, by the squeeze principle, it has the desired value.

  5. Let ch3a149.png be integrable and suppose ch3a150.png . Show that ch3a151.png .

    By Problem 3-3, the function ch3a152.png is integrable and ch3a153.png . Using the trivial partition ch3a154.png in which ch3a155.png is the only rectangle, we have ch3a156.png since ch3a157.png . This proves the result.

  6. If ch3a158.png is integrable, show that ch3a159.png is integrable and ch3a160.png .

    Consider the function ch3a161.png . For any rectangle contained in ch3a162.png , we have ch3a163.png and ch3a164.png . If ch3a165.png , then ch3a166.png . On the other hand, if ch3a167.png , then ch3a168.png . Let ch3a169.png be a partition as in Theorem 3-3 applied to ch3a170.png and ch3a171.png . Then this implies that

    ch3a172.png

    So, ch3a173.png is integrable by Theorem 3-3.

    Similarly, one can show that ch3a174.png is integrable. But then by Problem 3-3, it follows that ch3a175.png is integrable. But then, so if ch3a176.png integrable. Further, since ch3a177.png , Problem 3-5 implies that ch3a178.png . Since ch3a179.png by Problem 3-3 (c), it follows that ch3a180.png .

  7. Let ch3a181.png be defined by

    ch3a182.png

    Show that ch3a183.png is integrable and ch3a184.png .

    Let ch3a185.png . Choose a positive integer ch3a186.png so that ch3a187.png . Let ch3a188.png be any partition of ch3a189.png such that every point ch3a190.png with ch3a191.png lies in a rectangle of ch3a192.png of height (in the ch3a193.png direction) at most ch3a194.png . Since there are at most ch3a195.png such pairs ch3a196.png , such a ch3a197.png exists and the total volume of all the rectangles containing points of this type is at most ch3a198.png . Since ch3a199.png , the contribution to ch3a200.png from these rectangles is also at most ch3a201.png . For the remaining rectangles ch3a202.png , the value of ch3a203.png and their total volume is, of course, no larger than 1; so their contribution to ch3a204.png is at most ch3a205.png . It follows that ch3a206.png . By Theorem 3-3, ch3a207.png is integrable and the squeeze principle implies that its integral is 0.