Exercises: Chapter 1, Section 2

  1. Prove that the union of any (even infinite) number of open sets is open. Prove that the intersection of two (and hence finitely many) open sets is open. Give a counterexample for infinitely many open sets.

    Let ch1b1.png be a collection of open sets, and ch1b2.png be their union. If ch1b3.png , then there is an ch1b4.png with ch1b5.png . Since ch1b6.png is open, there is an open rectangle ch1b7.png containing ch1b8.png . So ch1b9.png is open.

    Let ch1b10.png and ch1b11.png be open, and ch1b12.png . If ch1b13.png , then there are open rectangles ch1b14.png (resp. ch1b15.png ) containing ch1b16.png and contained in ch1b17.png (resp. ch1b18.png ). Since the intersection of two open rectangles is an open rectangle (Why?), we have ch1b19.png ; so ch1b20.png is open. The assertion about finitely many sets follows by induction.

    The intersection of the open intervals ch1b21.png is the set containing only ch1b22.png , and so the intersection of even countably many open sets is not necessarily open.

  2. Prove that ch1b23.png is open.

    If ch1b24.png , then let ch1b25.png be the open rectangle centered at ch1b26.png with sides of length ch1b27.png . If ch1b28.png , then

    ch1b29.png

    and so ch1b30.png . This proves that ch1b31.png is open.

  3. Find the interior, exterior, and boundary of the sets:

    ch1b32.png

    The interior of ch1b33.png is the set ch1b34.png ; the exterior is ch1b35.png ; and the boundary is the set ch1b36.png .

    The interior of ch1b37.png is the empty set ch1b38.png ; the exterior is ch1b39.png ; and the boundary is the set ch1b40.png .

    The interior of ch1b41.png is the empty set ch1b42.png ; the exterior is the empty set ch1b43.png ; and the boundary is the set ch1b44.png .

    In each case, the proofs are straightforward and omitted.

  4. Construct a set ch1b45.png such that ch1b46.png contains at most one point on each horizontal and each vertical line but the boundary of ch1b47.png is ch1b48.png . Hint: It suffices to ensure that ch1b49.png contains points in each quarter of the square ch1b50.png and also in each sixteenth, etc.

    To do the construction, first make a list ch1b51.png of all the rational numbers in the interval [0, 1]. Then make a list ch1b52.png of all the quarters, sixteenths, etc. of the unit sqare. For example, ch1b53.png could be made by listing all pairs (a, b) of integers with ch1b54.png positive, ch1b55.png non-negative, ch1b56.png , in increasing order of ch1b57.png , and amongst those with same value of ch1b58.png in increasing lexicographical order; then simply eliminate those pairs for which there is an earlier pair with the same value of ch1b59.png . Similarly, one could make ch1b60.png by listing first the quarters, then the sixteenths, etc. with an obvious lexicographical order amongst the quarters, sixteenths, etc. Now, traverse the list ch1b61.png : for each portion of the square, choose the point ch1b62.png such that ch1b63.png is in the portion, both ch1b64.png and ch1b65.png are in the list ch1b66.png , neither has yet been used, and such that the latter occurring (in ch1b67.png ) of them is earliest possible, and amongst such the other one is the earliest possible.

    To show that this works, it suffices to show that every point ch1b68.png in the square is in the boundary of ch1b69.png . To show this, choose any open rectangle containing ch1b70.png . If it is ch1b71.png , let ch1b72.png . Let ch1b73.png be chosen so that ch1b74.png . Then there is some ch1b75.png portion of the square in ch1b76.png which is entirely contained within the rectangle and containing ch1b77.png . Since this part of the square contains an element of the set A and elements not in A (anything in the portion with the same x-coordinate ch1b78.png works), it follows that ch1b79.png is in the boundary of ch1b80.png .

  5. If ch1b81.png is the union of open intervals ch1b82.png such that each rational number in ch1b83.png is contained in some ch1b84.png , show that the boundary of ch1b85.png is ch1b86.png .

    Clearly, the interior of ch1b87.png is ch1b88.png itself since it is a union of open sets; also the exterior of ch1b89.png clearly contains ch1b90.png as ch1b91.png . Since the boundary is the complement of the union of the interior and the exterior, it suffices to show that nothing in ch1b92.png is in the exterior of ch1b93.png . Suppose ch1b94.png is in the exterior of ch1b95.png . Let ch1b96.png be an open interval containing ch1b97.png and disjoint from ch1b98.png . Let ch1b99.png be a rational number in ch1b100.png contained in ch1b101.png . Then there is a ch1b102.png which contains ch1b103.png , which is a contradiction.

  6. If ch1b104.png is a closed set that contains every rational number ch1b105.png , show that ch1b106.png .

    Suppose ch1b107.png . Since ch1b108.png is open, there is an open interval ch1b109.png containing ch1b110.png and disjoint from ch1b111.png . Now ch1b112.png contains a non-empty open subinterval of ch1b113.png and this is necessarily disjoint from ch1b114.png . But every non-empty open subinterval of ch1b115.png contains rational numbers, and ch1b116.png contains all rational numbers in ch1b117.png , which is a contradiction.

  7. Prove the converse of Corollary 1-7: A compact subset of ch1b118.png is closed and bounded.

    Suppose ch1b119.png is compact. Let ch1b120.png be the open cover consisting of rectangles ch1b121.png for all positive integers ch1b122.png . Since ch1b123.png is compact, there is a finite subcover ch1b124.png . If ch1b125.png , then ch1b126.png and so ch1b127.png is bounded.

    To show that ch1b128.png is closed, it suffices its complement is open. Suppose ch1b129.png is not in ch1b130.png . Then the collection ch1b131.png where ch1b132.png is an open cover of ch1b133.png . Let ch1b134.png be a finite subcover. Let ch1b135.png . Then ch1b136.png is an open neighborhood of ch1b137.png which is disjoint from ch1b138.png . So the complement of ch1b139.png is open, i.e. ch1b140.png is closed.

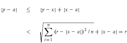
    1. If ch1b141.png is closed and ch1b142.png , prove that there is a number ch1b143.png such that ch1b144.png for all ch1b145.png .

      Such an ch1b146.png is in the exterior of ch1b147.png , and so there is an open rectangle ch1b148.png containing ch1b149.png and disjoint from ch1b150.png . Let ch1b151.png . This was chosen so that ch1b152.png is entirely contained within the open rectangle. Clearly, this means that no ch1b153.png can be ch1b154.png , which shows the assertion.

    2. If ch1b155.png is closed, ch1b156.png is compact, and ch1b157.png , prove that there is a ch1b158.png such that ch1b159.png for all ch1b160.png and ch1b161.png .

      For each ch1b162.png , choose ch1b163.png to be as in part (a). Then ch1b164.png is an open cover of ch1b165.png . Let ch1b166.png be a finite subcover, and let ch1b167.png . Then, by the triangle inequality, we know that ch1b168.png satisfies the assertion.

    3. Give a counterexample in ch1b169.png if ch1b170.png and ch1b171.png are required both to be closed with neither compact.

      A counterexample: ch1b172.png is the x-axis and ch1b173.png is the graph of the exponential function.

  8. If ch1b174.png is open and ch1b175.png is compact, show that there is a compact set ch1b176.png such that ch1b177.png is contained in the interior of ch1b178.png and ch1b179.png .

    Let ch1b180.png be as in Problem 1-21 (b) applied with ch1b181.png and ch1b182.png . Let ch1b183.png . It is straightforward to verify that ch1b184.png is bounded and closed; so ch1b185.png is compact. Finally, ch1b186.png is also true.