Exercises: Chapter 5, Section 5

  1. Generalize the divergence theorem to the case of an ch5e1.png -manifold with boundary in ch5e2.png .

    The generalization: Let ch5e3.png be a compact ch5e4.png -dimensional manifold-with-boundary and ch5e5.png the unit outward normal on ch5e6.png . Let ch5e7.png be a differentiable vector fieldd on ch5e8.png . Then

    ch5e9.png

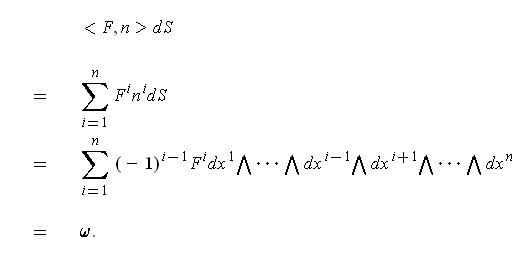
    As in the proof of the divergence theorem, let ch5e10.png . Then ch5e11.png . By Problem 5-25, on ch5e12.png , we have ch5e13.png for ch5e14.png . So,

    ch5e15.png

    By Stokes' Theorem, it follows that

    ch5e16.png

  2. Applying the generalized divergence theorem to the set ch5e17.png and ch5e18.png , find the volume of ch5e19.png in terms of the ch5e20.png -dimensional volume of ch5e21.png . (This volume is ch5e22.png if ch5e23.png is even and ch5e24.png if ch5e25.png is odd.)

    One has ch5e26.png and ch5e27.png since the outward normal is in the radial direction. So ch5e28.png . In particular, if ch5e29.png , this says the surface area of ch5e30.png is ch5e31.png times the volume of ch5e32.png .

  3. Define ch5e33.png on ch5e34.png by ch5e35.png and let ch5e36.png be a compact three-dimensional manifold-with-boundary with ch5e37.png . The vector field ch5e38.png may be thought of as the downward pressure of a fluid of density ch5e39.png in ch5e40.png . Since a fluid exerts equal pressures in all directions, we define the buoyaant force on ch5e41.png , due to the fluid, as ch5e42.png . Prove the following theorem.

    Theorem (Archimedes). The buoyant force on ch5e43.png is equal to the weight of the fluid displaced by ch5e44.png .

    The definition of buoyant force is off by a sign.

    The divergence theorem gives ch5e45.png . Now ch5e46.png is the weight of the fluid displaced by ch5e47.png . So the right hand side should be the buoyant force. So one has the result if we define the buoyant force to be ch5e48.png . (This would make sense otherwise the buoyant force would be negative.)