Lecture 2: Compact Sets and Continuous Functions

2.1 Topological Preliminaries

What does it mean for a function to be continuous? An elementary calculus course would define:

Definition 1: Let compact1.jpg and compact2.jpg be a function. Let compact3.jpg and compact4.jpg . The function compact5.jpg has limit compact6.jpg as x approaches a if for every compact7.jpg , there is a compact8.jpg such that for every compact9.jpg with compact10.jpg , one has compact11.jpg . This is expressed as

compact12.jpg

Definition 2:The function f is said to be continuous at compact13.jpg if

compact14.jpg

On the other hand, in a first topology course, one might define:

Definition 3: A topological space is a pair (X, compact15.jpg ) where X is a set and compact16.jpg is a collection of subsets of X (called the open sets of the topological space) such that

  1. The Union of any number of open sets is an open set.
  2. The Intersection of a finite number of open set is an open set and.
  3. Both X and the empty set are open.

As an abbreviation, we speak of the topological space X when we don't need to refer to compact17.jpg . A set is closed if its complement is open.

Exercise 1: If (X, compact18.jpg ) is a topological space and compact19.jpg , then (A, compact20.jpg ) is also a topological space. We say that this is the topology induced on A by the topology on X.

Definition 4: A function compact21.jpg of topological spaces is continuous if for every open subset compact22.jpg of compact23.jpg , compact24.jpg is an open subset of X.

Definition 5:An open rectangle compact25.jpg is defined to be a subset of compact26.jpg of the form compact27.jpg , i.e. There are real numbers compact28.jpg and compact29.jpg where compact30.jpg for all i and

compact31.jpg

In the case of compact32.jpg , we can define a topology by saying that a subset compact33.jpg of compact34.jpg is open if every point compact35.jpg is contained in an open rectangle compact36.jpg which is entirely contained in compact37.jpg . We call this the usual topology of compact38.jpg and for any subset compact39.jpg of compact40.jpg , the induced topology is called the usual topology of compact41.jpg .

Exercise 2: Make a reasonable definition of closed rectangle. Prove that open rectangles are open sets and closed rectangles are closed sets.

Exercise 3: Instead of rectangles, we could have used open balls. Show that the resulting topology would be the same.

We are now ready for:

Proposition 1: With the usual topology on compact42.jpg and compact43.jpg , the two notions of continuous function are equivalent.

Proof: This is easy if you did Exercise 3.

2.2 Compact Sets

The most important theorem in one variable calculus is:

Theorem 1: (Mean Value Theorem) If compact44.jpg (where compact45.jpg ) is continuous on compact46.jpg and differentiable on compact47.jpg , then there is at least one compact48.jpg satisfying

compact49.jpg

The principal ingredient of the proof of this theorem is:

Theorem 2: (Extreme Value Theorem) Every continuous function compact50.jpg (where compact51.jpg has at least one absolute minimum and at least one absolute maximum.

Usually, in an elementary calculus course, one proves the Mean Value Theorem, but not the Extreme Value Theorem -- the second result is usually taken to be intuitively obvious. Actually, this is a rather subtle and difficult result. To begin with, let us note that in fact, the Extreme Value Theorem holds when the interval compact52.jpg is replaced with a closed and bounded subset of the real numbers, where bounded is defined as:

Definition 6: A subset compact53.jpg of compact54.jpg is said to be bounded if it is contained ins ome open rectangle.

Exercise 4: Find counterexamples to Theorem 2 if you either just assume that the interval is not closed or that it is not bounded.

Definition 7: A cover for a subset compact55.jpg of a topological space X is simply any collection compact56.jpg of subsets of X whose union contains compact57.jpg . The cover is called open (respectively finite) if the subsets are all open (respectively are finite in number).

Definition 8: A subset A of a topological space X is said to be compact if every open cover of A contains a finite subcover (i.e. a finite subset of the cover is itself a cover).

Proposition 2: If compact58.jpg is continuous and compact59.jpg is compact, then so is compact60.jpg .

Proof: If compact61.jpg is an open cover of compact62.jpg , then compact63.jpg is an open cover of A (Why?). Since compact64.jpg is compact, compact65.jpg has a finite subcover, say compact66.jpg , where the compact67.jpg are all in compact68.jpg . Now, one can verify that compact69.jpg form a finite cover of compact70.jpg .

Exercise 5: With the usual topology on compact71.jpg , if compact72.jpg is compact, then compact73.jpg is both closed and bounded.

Theorem 5: (Heine-Borel Theorem) With the usual topology on compact74.jpg , a subset compact75.jpg of compact76.jpg is compact if and only if it both closed and bounded.

Note: The Extreme Value Theorem follows: If compact77.jpg is continuous, then compact78.jpg is the image of a compact set and so is compact by Proposition 2. So, it is both closed and bounded by Exercise 5. In particular, the least upper bound of compact79.jpg (which exists by the completeness property of the real numbers) is in compact80.jpg (Why?). So, compact81.jpg has an absolute maximum.

The Heine-Borel Theorem can be proved in at least two ways. The first method proceeds by building up larger and larger sets which are known to be compact. One starts with Lemma 1 below and then uses Lemma 2 to inductively conclude that any closed rectangle is compact. Finally, Lemma 3 completes the proof.

Lemma 1: A closed interval compact82.jpg is compact.

Proof: Let compact83.jpg be an open cover of compact84.jpg (assumed non-empty). The set compact85.jpg of all compact86.jpg such that compact87.jpg contains a finite subcover of compact88.jpg is bounded. So it has a least upper bound, say compact89.jpg . Let compact90.jpg contain compact91.jpg and hence an open interval compact92.jpg containing compact93.jpg . Choose compact94.jpg in this open interval. Then compact95.jpg and so there is a finite subcover compact96.jpg of compact97.jpg . But then compact98.jpg is a finite subcover of compact99.jpg for any compact100.jpg contrary to the choice of compact101.jpg .

Lemma 2: If compact102.jpg and compact103.jpg are compact, then so is compact104.jpg .

Proof: Suppose compact105.jpg is an open cover of compact106.jpg . If compact107.jpg , compact108.jpg is compact. Further, compact109.jpg is also an open cover of compact110.jpg and so this set has a finite subcover compact111.jpg . For every compact112.jpg , there is an open rectangle compact113.jpg containing compact114.jpg and contained in some one of the compact115.jpg ; the set of these is rectangles is an open cover of compact116.jpg and so admits of an open subcover compact117.jpg of the same set. Each rectangle compact118.jpg where compact119.jpg and compact120.jpg are open rectangles. Letting compact121.jpg , it follows that compact122.jpg is actually a finite open cover of compact123.jpg .

For each compact124.jpg , we can do the construction of the last paragraph. The set of all the compact125.jpg for all the compact126.jpg is an open cover of compact127.jpg and so it admits of a finite subcover compact128.jpg . But then the set of all the compact129.jpg 's associated with all the compact130.jpg 's is a finite subcover of compact131.jpg .

Lemma 3: If every rectangle is compact, then every closed and bounded subset of compact132.jpg is compact.

Proof: If compact133.jpg is closed and bounded, then it is contained in a closed rectangle compact134.jpg . If compact135.jpg is an open cover of compact136.jpg , then adding the complement of compact137.jpg in compact138.jpg to the cover gives an open cover of compact139.jpg . Since compact140.jpg is compact, there is a finite subcover. But then after possibly removing the complement of compact141.jpg in compact142.jpg , we get a finite subcover of compact143.jpg .

The second proof of the Heine-Borel Theorem proceeds by binary search. We will prove it in the case an interval and leave the generalization to a rectangle as an exercise.

Proof:(Heine-Borel, case where compact144.jpg ) Suppose the result is false. Then there is an open cover compact145.jpg of compact146.jpg without a finite subcover. Let's look for smaller intervals with the same property with respect to this fixed cover. Clearly, either the left or the right half of compact147.jpg must not have a finite subcover (Otherwise, the union of the subcovers for each half would give a subcover for the whole interval.) We can now apply the same reasoning to a half that does not have a finite subcover, etc. This gives a sequence of intervals

compact148.jpg

where compact149.jpg for every compact150.jpg and such that each subinterval does not admit of a finite subcover of compact151.jpg . Clearly, one has compact152.jpg . Let compact153.jpg be the least upper bound of the set of these compact154.jpg . Then compact155.jpg is in compact156.jpg and so there is a set compact157.jpg in compact158.jpg with compact159.jpg . It is now easy to see that compact160.jpg contains almost all the intervals compact161.jpg , which is a contradiction.

Exercise 6: Generalize the above proof to show that every closed rectangle in compact162.jpg is compact.

2.3 The Mean Value Theorem

Definition 9: The derivative of the function compact163.jpg is compact164.jpg whenever it exists.

Proposition 3: With compact165.jpg as in the definition, suppose that the derivative of compact166.jpg at compact167.jpg exists. If compact168.jpg is a local maximum or local minimum of compact169.jpg , then the derivative of compact170.jpg at compact171.jpg is zero.

Proof:Suppose, for example, that compact172.jpg is a local maximum of compact173.jpg , i.e. compact174.jpg for all compact175.jpg in an open interval containing compact176.jpg . But then for compact177.jpg in this interval with compact178.jpg , one has compact179.jpg and so the limit as compact180.jpg approaches compact181.jpg from the right must be non-positive. By taking compact182.jpg in the interval with compact183.jpg , one has compact184.jpg and so the limit as compact185.jpg approaches compact186.jpg from the left must be non-negative. If the limit exists, then these two must be equal, and so the derivative is zero. The proof in case of a local minimum is analogous.

Proposition 4: (Rolle's Theorem) If compact187.jpg is continuous on compact188.jpg and differentiable on compact189.jpg and compact190.jpg , then for some compact191.jpg , one has compact192.jpg .

Proof: If the result is false, then Proposition 3 says that there is no local maximum or local minimum in compact193.jpg . On the other hand, the Extreme Value Theorem says that there is at least one absolute maximum and at least one absolute minimum; so both must be at the endpoints. But, then the function must be constant in the entire interval. This is a contradiction.

We can now prove:

Corollary 1: (Mean Value Theorem) If compact194.jpg and compact195.jpg are both real valued functions continuous on compact196.jpg and differentiable on compact197.jpg and if the graphs of compact198.jpg and compact199.jpg intersect at compact200.jpg and compact201.jpg , then there is at least one compact202.jpg satisfying compact203.jpg .

Proof: Apply Rolle's Theorem to the function compact204.jpg .

Note: Theorem 1 is the special case where compact205.jpg is the straight line from compact206.jpg to compact207.jpg .

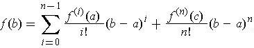
Corollary 2: (Taylor's Theorem with Remainder) Let compact208.jpg and its first n derivatives be continuous on compact209.jpg and compact210.jpg . Then for all compact211.jpg , one has:

compact212.jpg

for some compact213.jpg .

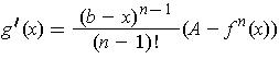
Proof: Consider the function:

compact214.jpg

where the constant A is chosen so that compact215.jpg . The derivative can be calculated using the product rule:

compact216.jpg

Using Rolle's Theorem, we know that there is a compact217.jpg satisfying compact218.jpg ; this is the compact219.jpg we are looking for.