Integrals

In order to simplify the presentation, we will develop integration using the Riemann (or Jordan) approach rather than the more general theory of Lebesgue integration.

Integration Over a Rectangle

Definition 1: (i) A partition of an interval int1.png is a sequence int2.png where int3.png . A partition of a rectangle int4.png is an n-tuple int5.png where int6.png is a partition of int7.png for every int8.png . A second partition int9.png of the same rectangle is called a refinement of the first partition int10.png if the set int11.png is a subset of the set int12.png for each int13.png .

(ii) If int14.png for each int15.png , then the partition P defines the set of subrectangles of the partition int16.png made up of all the rectangles of the form int17.png . The volume int18.png of the rectangle int19.png is defined to be

int20.png

(iii) If, in addition, int21.png is a bounded function defined on the rectangle int22.png , then one defines for each subrectangle of int23.png the functions:

int24.png

Further, the lower and of int25.png for the partition int26.png are defined to be

int27.png

The definitions have been constructed to make the following trivial, but crucial Lemma true.

Lemma 1: With the notation as in Definition 1, every subrectangle of int28.png is a union of finitely many subrectangles of int29.png whose interiors are pairwise disjoint. As a result, one has:

int30.png

Definition 2: With the notation as in Definition 1, the lower integral (respectively upper integral of int31.png on int32.png is defined to be int33.png (respectively int34.png ). If int35.png , then int36.png is called integrable with integral int37.png equal to this common value. Another notation for the integral is int38.png

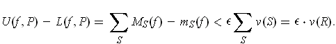
Proposition 1: A bounded function int39.png defined on a rectangle int40.png is integrable if and only if for every int41.png , there is a partition int42.png such that int43.png

Proof: The condition is clearly sufficient. On the other hand, if int44.png is integrable and int45.png , then there are partitions int46.png and int47.png such that

int48.png

Let int49.png be a refinement of both int50.png and int51.png . Then Lemma 1 implies that int52.png is a partition of the desired type.

Theorem 1: (Fubini's Theorem) Let int53.png and int54.png be closed rectangles and int55.png be integrable. For int56.png , let int57.png be defined by int58.png and let int59.png and int60.png be defined by:

int61.png

Then int62.png and int63.png are both integrable on int64.png and

int65.png

In other words, the double integral can be calculated as either of two iterated integrals:

int66.png

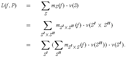
Proof: This is mostly a matter of sorting out all the definitions. If int67.png (respectively int68.png ) is a partition of int69.png (respectively int70.png ), then int71.png is a partition of int72.png with subrectangles of the form int73.png where int74.png is a subrectangle of int75.png and int76.png is a subrectangle of int77.png .

One has:

int78.png

For int79.png , one has int80.png , and so

int81.png

But then:

int82.png

and so, combining results, we get:

int83.png

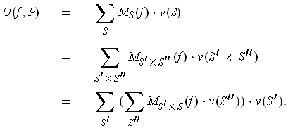
For the upper sums, one can argue analogously:

int84.png

For int85.png , one has int86.png , and so

int87.png

But then:

int88.png

and so, combining results, we get:

int89.png

Combining the results for upper and lower sums:

int90.png

Since int91.png is integrable,

int92.png

and so int93.png is integrable with integral equal to int94.png

A similar argument shows that

int95.png

and so one gets int96.png is integrable with integral int97.png , as desired.

Note: By interchanging the roles of int98.png and int99.png , one can show that the order in which the integrals are iterated does not affect the result.

Extending the Integral: Characteristic Functions

Exercise 1: State and prove a result which would make the following definition legitimate and reasonable.

Definition 3: If int100.png , then its characteristic function int101.png is defined by

int102.png

If int103.png where int104.png is a closed rectangle, then a bounded function int105.png is said to be integrable with integral int106.png provided that this last quantity is defined.

Definition 4: A subset int107.png of int108.png is said to be of measure zero (respectively content zero) if for every int109.png , there is a countable infinite (respectively finite) sequence int110.png of open rectangles which form a cover of int111.png and such that int112.png

Exercise 2: Show that, if we replace open with closed in Definition 4, the resulting definitions are equivalent.

Proposition 2: (i) The union of a countable collection of sets of measure zero is also of measure zero.

(ii) A compact set is of measure zero if and only if it is of content zero.

(iii) A closed interval int113.png with int114.png is not of measure zero.

Proof: (i) Suppose int115.png is a countable sequence of sets of measure zero and int116.png . Then int117.png has an open cover by rectangles int118.png such that int119.png Then clearly the int120.png are a cover of the union of int121.png and the sum of their volumes is less than int122.png (why?). To enumerate the int123.png , just list them out in order of increasing int124.png keeping those with the same value of int125.png in order of increasing int126.png .

(ii> Clearly, the condition is sufficent. On the other hand, if int127.png is compact and of measure 0, with an open covering int128.png of open rectangles of total volume less than int129.png . Then any finite subcover satisfies the same condition. So int130.png is also of content zero.

(iii) If int131.png were of measure zero, it would be of content zero by part (ii). Suppose int132.png has a cover int133.png by closed rectangles of total length less than int134.png . We can replace the int135.png with their intersections with int136.png to show that the int137.png can be assumed to be subintervals of int138.png . But then the endpoints of the int139.png can be arranged into increasing order to obtain a partition of int140.png . Each int141.png is a union of certain of the subrectangles of this partition and so int142.png So, if int143.png , the interval int144.png cannot be of content zero and so it is also not of measure zero.

Definition 5: Let int145.png be a bounded function and int146.png . Define the functions:

int147.png

The oscillation int148.png of int149.png at int150.png is defined to be

int151.png

Proposition 3:(i) The bounded function int152.png is continuous at int153.png if and only if int154.png .

(ii) If int155.png is closed, int156.png is bounded, and int157.png , then int158.png is closed.

(iii) If int159.png is a bounded function defined on a closed rectangle int160.png and int161.png for some int162.png , then there is a partition int163.png of int164.png such that int165.png

Proof: (i) Do this as an exercise.

(ii) If int166.png is not in int167.png , then there is an open an open ball of radius int168.png about int169.png which is disjoint from int170.png . Using this ball, one can check that int171.png So int172.png .

Suppose int173.png and int174.png . Then int175.png . Choose a int176.png such that int177.png . Then for all int178.png such that int179.png , we have int180.png . and so int181.png . Thus the complement of int182.png is open and int183.png is closed.

(iii) For each int184.png there is a closed rectangle with int185.png in its interior such that int186.png Since int187.png is compact, a finite number of these are such that their interiors cover int188.png . Choose for int189.png any partition of int190.png such that every subrectangle int191.png of int192.png is contained in one of these finitely many int193.png 's. Then int194.png for each subrectangle int195.png . It follows that

int196.png

Theorem 2: Let int197.png be a bounded function defined on a closed rectangle int198.png and let int199.png Then int200.png is integrable if and only if int201.png is a set of measure zero.

Proof: Suppose int202.png is integrable and int203.png . For int204.png , choose a partition int205.png of int206.png such that int207.png . Then the set of subrectangles int208.png of int209.png such that int210.png has total volume less than int211.png If int212.png is a point where the oscillation of int213.png is at least int214.png and if int215.png is in the interior of one of the subrectangles of int216.png , then int217.png . Since the boundaries of the subrectangles of int218.png is a set of measure zero, it follows that the set int219.png of int220.png with oscillation at least int221.png must be a set of content (and hence measure) zero. Since the set of discontuities of the function int222.png is just the union of the countably many sets int223.png for int224.png , it follows that the set of discontinuities of int225.png is also of measure zero.

Now, suppose that the set of discontinuities of int226.png is of measure 0. As before, let int227.png be the set of int228.png satisfying int229.png Since int230.png is compact by Proposition 3 and int231.png is of measure zero, int232.png is of content zero. In particular, there is a finite set of closed rectangles whose interiors cover int233.png and such that their total volume is at most int234.png . First choose a partition int235.png of int236.png such that every subrectangle of int237.png is either completely contained with one of the finitely many rectangles or else its interior is disjoint from all of these rectangles. For each rectangle of the first type, one has int238.png where int239.png is an upper bound for |f(x)| for all int240.png . For each subrectangle S of the second type, one can use Proposition 3(iii) to find a partition of the subrectangle such that the difference between the upper and lower sums on this subrectangle is at most int241.png . Now replace P with a refinement of each of these partitions. Then we have int242.png . By making int243.png sufficiently small, we can make this sum as small as we like, and so int244.png is integrable.

Corollary 1: Let int245.png be a bounded set. Then its characteristic function int246.png is integrable if and only if the boundary of int247.png is of measure zero.

Proof: Apply Theorem 2 given that the set of discontinuities of int248.png is precisely the boundary of int249.png .

Definition 6: A bounded set int250.png is called Jordan measurable if its boundary is of measure zero. In this case, the integral of its characteristic function is called the content of int251.png or its (n-dimensional) volume.

Note: Although our extension was defined in a natural way, it is not quite adequate. Indeed, we have seen that there are open subsets of int252.png whose boundaries are not of measure zero. So even constant functions on open sets might not be integrable. This is why we need the next section.

Extending the Integral: Partitions of Unity

The goal of this section is to define an integral for functions defined on open sets. This is based on a technical result:

Theorem 3: (Partitions of Unity) Let int253.png be an open cover of a subset int254.png There is a set int255.png of int256.png function int257.png defined in an open set containing int258.png and satifying:

  1. For each int259.png , one has int260.png and int261.png where the sum is defined because for every such int262.png there is an open set int263.png containing int264.png where there are but finitely many int265.png such that int266.png .
  2. For each int267.png , there is a int268.png such that int269.png outside of some compact set contained in int270.png .

Definition 7: A set int271.png of functions satisfying condition (1) of Theorem 3 is called a int272.png partition of unity of int273.png . When both conditions are satisfied, we call int274.png a partition of unity of int275.png subordinate to the cover int276.png

Lemma 1: (i) If int277.png is a compact subset of an open set int278.png . Then there is a compact subset int279.png of int280.png such that int281.png is contained in the interior of int282.png .

(ii) If int283.png is a compact subset of an open set int284.png , then there is a int285.png function int286.png such that int287.png on all of int288.png and such int289.png outside of a compact subset of int290.png . In fact, int291.png can be chosen so it maps into int292.png and such that int293.png for all int294.png .

Proof: This is just Exercises 1-22 and 2-26.

Proof: (of Theorem 3) Case 1: First, consider the case in which int295.png is compact. Replace int296.png with a finite subcover of int297.png , say int298.png .

Claim: There are compact sets int299.png whose interiors cover int300.png and such that int301.png for every int302.png

Proof: We make an inductive definition. Suppose, we have already chosen int303.png such that the union of the their interiors and the sets int304.png contains int305.png . Let

int306.png

Then int307.png is a compact subset of int308.png By Lemma 1 (i), there is a compact set int309.png contained in int310.png and containing int311.png in its interior. This completes the induction.

By Lemma 1 (ii), there are int312.png functions int313.png which are positive on int314.png and which are zero outside of some compact subset of int315.png . Then int316.png for int317.png in an open set int318.png containing int319.png . Define functions int320.png by

int321.png

Now, choose a int322.png function int323.png such that int324.png for int325.png and such that int326.png outside of a compact set contained in int327.png . Then the functions int328.png is the desired partition of unity.

Case 2: Now, let's prove the result in case int329.png where each int330.png is compact and contained in the interior of int331.png . To see this, note that the compact set int332.png has an open cover int333.png So, our previous case shows that there is a partition of unity int334.png for int335.png subordinate to int336.png Now int337.png is a finite sum in some open set containing int338.png and so we can take as our partition of unity the set of all the int339.png for all int340.png for all int341.png .

Case 3: Suppose now that int342.png is an open set. This case follows from the previous one by letting int343.png be the set of int344.png such that int345.png and the distance from int346.png to the boundary of int347.png is at least int348.png . The general case is now evident; one can simply replace the set int349.png with the union of all the open subsets int350.png in int351.png .

Definition 8: An open cover int352.png of a set int353.png is called admissible if each element of int354.png is contained in int355.png . Let int356.png be a function and int357.png be admissible for int358.png (and so int359.png is open). Then int360.png is said to be integrable in the extended sense with integral int361.png provided that the terms of the series are defined and int362.png is convergent.

Theorem 4: Let int363.png be a partition of unity subordinate to an admissible cover int364.png of an open set int365.png and int366.png be a function integrable in the extended sense (as defined using this this particular int367.png ).

  1. If int368.png is another partition of unity subordinate to an admissible cover int369.png of int370.png , then int371.png is convergent and

    int372.png

  2. If int373.png and int374.png are bounded and the set of discontinuities of int375.png is a set of measure zero, then int376.png is integrable in the extended sense.
  3. If int377.png is Jordan-measurable and int378.png is bounded, then the extended definition of int379.png agrees with the earlier definition of int380.png .

    Proof: (i) For int381.png , int382.png except on a compact set int383.png dependent on int384.png . For each int385.png , there is an open set containing int386.png on which there are at most finitely many int387.png which are non-zero at some point in the open set. These open sets cover int388.png and so there is a finite subcover; hence there are only finitely many int389.png whose restrictions to int390.png are not identically zero. One has

    int391.png

    In particular, the right hand side converges. Absolute convergence implies that we can re-arrange the series on the right as

    int392.png

    A similar argument shows that the same identities hold when the absolute values are removed.

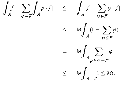
    (ii) Suppose int393.png for some closed rectangle int394.png and that int395.png for some int396.png and all int397.png . Then for any finite subset int398.png , one has

    int399.png

    (iii) If int400.png is Jordan-measurable and int401.png , then there is a compact Jordan-measurable set int402.png such that int403.png . For any finite set int404.png containing all the int405.png which are not identically zero on int406.png , one has:

    int407.png